반응형
김호중 음주운전, 위드마크 공식 혈중알코올 농도

음주운전 김호중 혈중알코올 농도 얼마였일까?
가수 김호중이 강남에서 술을 마신 후 역주행 사고를 내고 도주한 사건과 관련해 출국금지 조치가 내려졌습니다.
1. 사건발생
- 날짜: 5월 9일 오후 11시 40분경
- 장소: 서울 강남구 압구정동
- 사고 내용: 술을 마신 김호중이 역주행하여 택시와 충돌. 사고 후 아무런 조치 없이 도주.
2. 사건 은폐 시도
- 김호중의 매니저가 자신이 운전했다고 허위 자백.
- 차량 블랙박스 메모리 카드를 파손.
반응형
3. 출국금지 조치
- 대상: 가수 김호중, 이광득 생각엔터테인먼트 대표, 대리 자수한 매니저, 블랙박스 메모리 카드 파손한 본부장.
- 조치 이유: 사건 은폐 시도 및 조직적 범행 의혹.
4. 경찰 수사 진행
- 출석 일정 조율 중: 김호중 측 변호인을 통해 출석 일정 논의 중이나 확정된 바 없음.
- 위드마크 공식 적용: 술의 종류, 음주량, 체중 등을 계산하여 시간 경과에 따른 혈중알코올 농도 유추.
- 목적: 김호중의 음주운전 혐의 입증.
경찰은 김호중의 음주와 운전의 전후 관계를 확인하고, 위드마크 공식을 통해 음주운전 혐의를 입증할 계획이라고 합니다.
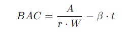
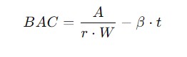
위드마크 공식(Widmark Formula)란?
| 위드마크 공식(Widmark Formula)은 음주운전 사고 시 시간 경과에 따른 혈중알코올 농도를 추정하기 위해 사용되는 수학적 공식입니다. 이 공식은 음주량, 체중, 알코올 소실률 등의 변수를 고려하여 혈중알코올농도를 계산합니다. 다음은 위드마크 공식을 설명하는 기본 개념입니다. |
1. 기본공식

BAC: 혈중알코올농도(Blood Alcohol Concentration)
A: 섭취한 알코올의 양(grams of ethanol)
r: 체수율(남성은 약 0.68, 여성은 약 0.55)
W: 체중(Weight in grams)
β: 시간당 알코올 감소율(소실률), 평균적으로 0.015%/시간
t: 경과 시간(hours)
2.섭취한 알코올의 양 계산
V: 음료의 부피(Volume of drink in milliliters)
C: 음료의 알코올 농도(Alcohol concentration as a decimal, e.g., 0.05 for 5% alcohol)
0.789: 알코올의 밀도(g/ml)
3. 적용예시
예를 들어, 체중이 70kg인 남성이 알코올 40g을 섭취하고 2시간이 경과한 후의 BAC를 계산할 때
A = 40g
r = 0.68
W = 70000g
β = 0.015%/시간
t = 2시간

이 예시는 실제 계산 과정에서 단순화된 예로, 음주운전 사고 당시의 BAC를 추정하는 데 사용됩니다. 실제 적용 시 더욱 정밀한 데이터와 상황을 고려해야 합니다.
반응형
'FREE' 카테고리의 다른 글
| [자격증추천] 요즘 인기있는 자격증 순위 (0) | 2024.05.22 |
|---|---|
| 용도별 가장 맛있는 버터 추천 (0) | 2024.05.22 |
| 기타의 종류 및 차이점 - 통기타, 일렉기타, 클래식기타, 베이스기타, 우쿨렐레 (0) | 2024.05.16 |
| 2024년 BEST 여성 선글라스 추천 (0) | 2024.05.16 |
| 얼굴형에 맞는 올바른 선글라스를 선택 방법 및 선글라스 렌즈 색상 고르는 팁 (0) | 2024.05.16 |
댓글